最近,天气变得越来越冷,实验室也就变得越来越远。就连像我这样比较勤奋的博士生都没办法准时到实验室了。

短短的2.2km,成为了我学术道路上最大的绊脚石——一想到要在寒风中骑15分钟自行车,就根本不想起床了。
现在,有了「××」分时租赁电动汽车(显然没有广告费),开开心心就能到实验室。一口气开两公里,不会冷。

但是,用过几次分时租赁之后,问题出现了。

没错,那就是附近没有车!尤其是像我这样比较勤奋的博士生,经常学习(刷知乎)到深夜,那样就只能默默走2.2km回宿舍了。
「要是预定之后,汽车能自动开到你附近就好了。」我不禁这样想。
这不就是二维路径规划问题嘛,对于一个知道四十种运动规划算法的博士生,这个完全是道送分题。
要是做出来了,那岂不是立马制霸分时租赁市场,再随便忽悠个风投,然后把「××」打车收购了,改成「××」自动驾驶出租车。想想都激动。

利益熏心之下,我立马投入了工作。由于平时见多识广,我很快就找到了解决这个问题的办法:
-
1)写一个全局规划器,让电动车能在任意两个停车点之间找到开车路线;
-
2)写一个局部规划器,控制电动车跟随全局轨迹,并实现避障等功能。
So easy!
由于每个停车点相对固定、校园环境也比较简单,所以全局规划器并不复杂,将校园地图做成网格(或拓扑图),跑一个A*就可以了。当然,毕竟我是机动学院的,所以我做的这种车也只能走机动车道,为了防止它跑出机动车道,可以加一个costmap。不多说。

costmap示意图,让距离不可行区域(如非机动车道)较近的路径耗费更高即可
写完全局规划器,就只剩下局部规划器了。
这个局部规划器也简单,看了文献,大概有个叫做Timed-Elastic-Band的多目标优化方法,只要写出需要满足的优化目标函数即可:

算了,差不多这样就可以了,出于严谨的科学态度,我用stage搭了一个仿真平台,测试这个算法。

哎呦,不错哟!
那就直接上真车吧。但毕竟「××」分时租赁不肯赞助我,我没办法用他们的车做实验,我只能把视线投向了实验室的移动小车。


算了,我还是去当电影剪辑师好了。
===============
不好意思,上面都是临时工写的。为了不剧透,临时工剪辑的视频也放在最后。

由于之前一直宣扬「Path planning 跟 motion planning 在数学上是一个问题」,于是被拉入坑,让我去做这个自动驾驶车的东西。
当然,一开始让我去做这个路径规划,其实我的拒绝的。
但后来一想,正好能在低维情况下试试那些基于优化的路径规划算法,然后顺便再发篇论文,也不错。

全局规划器跟上面临时工说得差不多,就是costmap + graph search。costmap就是根据地图的可行区域,再通过耗费函数计算出来的一个图。即,
cost function + map = costmap
重点是局部规划器。
由于,局部规划器所需满足的约束条件比较多,就可以通过设计一堆由路径决定的优化目标函数,利用优化算法对它求解进行了。
对于二维路径的描述,有一个有趣的方法,叫做Elatic Band(橡皮筋)。
简而言之,就是连接起始、目标点,并让这个路径可以变形,变形的条件就是将所有约束当做橡皮筋的外力。

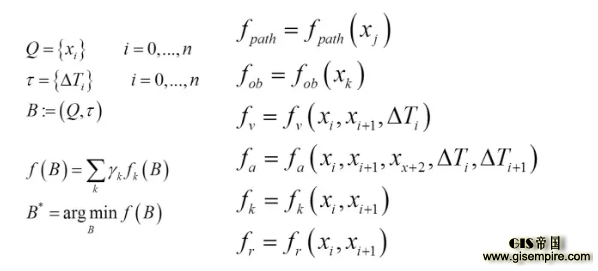
先定义一下我们的橡皮筋:
起始点、目标点状态由用户/全局规划器指定,中间插入N个控制橡皮筋形状的控制点(机器人姿态),当然,为了显示轨迹的运动学信息,我们在点与点之间定义运动时间Time。于是,这个方法就叫做Timed-Elastic-Band。即
time + elastic band = timed elatics band

之后就需要定义「内外力」的数学表达形式,即目标函数。(以下均为中学知识)
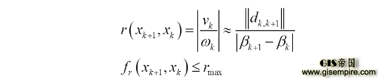
1) 要跟踪全局轨迹+要避开障碍物:
这两个其实算是一类问题,都是在橡皮筋上找到距离某一点(全局路径点/障碍物)最近的状态,计算两者之间距离,之后定义一个基于距离的势场就好了。
当然,上面两种目标函数随距离变化方向正好相反,一个随着距离增大而增大(跟踪),一个随着距离增大而减小(障碍物)。

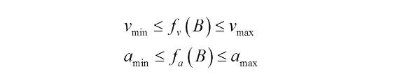
2) 加速度/速度限制
这个其实就是一个不等式约束。
我们的橡皮筋只定义了姿态(x,y,θ)与两两状态直接的时间,所以就直接用差分近似计算好了。

3) 运动学限制
这个比较重要,毕竟我们一般都不希望自己的车漂移起来。

所以,我们的控制量只有车速(油门)与转角(方向盘)。
我们假设两个状态点之间转角相同,(如果发生了转向,中间加状态点就好了)。

简单的向量叉乘求夹角即可
当然,由于汽车的结构限制,汽车会有一个最小转弯半径。(毕竟汽车不能原地转弯)


4) 当然,如果有其他约束也可以扔进去
目标函数都定好之后,就需要进行求解了。

这么复杂的多目标优化问题,一看就不想做
好吧,这步虽然看似复杂,但是了解SLAM或者SFM的同学应该能很快反应过来,这就是一个bundle adjustment问题。
简而言之,虽然待优化的橡皮筋有不少状态点与时间段,目标函数也好像很多。但是,每个目标函数只与橡皮筋中的某几个状态有关,而非整条橡皮筋。认识到这是一个稀疏优化(Sparse Optimization)问题就比较容易了。
将它描述成图,然后用图优化。

如图,这个图的节点vertexs是橡皮筋的状态(机器人姿态+时间);图的边edges是我们自己定义的优化目标函数。
求解的框架,自然是可以去使用g2o(A General Framework for Graph Optimization)了。当然,节点和边的类型需要我们自己利用g2o中的模板定义。

最后是临时工剪辑的视频Cost Map Elastic Band,不能只有我一个人被洗脑:
https://v.qq.com/x/page/c0354qk9qne.html
转载请注明出处。GIS帝国网站报道中出现的商标及图像版权属于其合法持有人,只供传递信息之用,非商务用途。
相关文章



精彩导读

热门资讯
关注我们